pymc.NegativeBinomial#

class pymc.NegativeBinomial(name, *args, **kwargs)[source]#

Negative binomial log-likelihood.

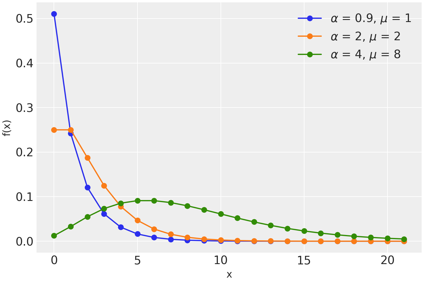
The negative binomial distribution describes a Poisson random variable whose rate parameter is gamma distributed. Its pmf, parametrized by the parameters alpha and mu of the gamma distribution, is

\[f(x \mid \mu, \alpha) = \binom{x + \alpha - 1}{x} (\alpha/(\mu+\alpha))^\alpha (\mu/(\mu+\alpha))^x\]

(Source code, png, hires.png, pdf)

../../../_images/pymc-NegativeBinomial-1.png

Support

\(x \in \mathbb{N}_0\)

Mean

\(\mu\)

Variance

\(\frac{\mu^2}{\alpha} + \mu\)

The negative binomial distribution can be parametrized either in terms of mu or p, and either in terms of alpha or n. The link between the parametrizations is given by

\[\begin{split}p &= \frac{\alpha}{\mu + \alpha} \\ n &= \alpha\end{split}\]

If it is parametrized in terms of n and p, the negative binomial describes the probability to have x failures before the n-th success, given the probability p of success in each trial. Its pmf is

\[f(x \mid n, p) = \binom{x + n - 1}{x} (p)^n (1 - p)^x\]
Parameters:
alphatensor_like of float

Gamma distribution shape parameter (alpha > 0).

mutensor_like of float

Gamma distribution mean (mu > 0).

ptensor_like of float

Alternative probability of success in each trial (0 < p < 1).

ntensor_like of float

Alternative number of target success trials (n > 0)

Methods

NegativeBinomial.dist([mu, alpha, p, n])

Create a tensor variable corresponding to the cls distribution.